Setting up a relative binding free energy network#

This tutorial gives a step-by-step process to set up a relative binding free energy (RBFE) simulation campaign using OpenFE. This tutorial is designed as an accompaniment to the CLI tutorial found in the same directory as this notebook.

With the CLI, all the steps here were performed by the openfe plan-rbfe-network command. However, that command offers little room for customization. Using the Python interface gives us the ability to customize all aspects of how our simulation runs. This tutorial provides a step-by-step Python guide to reproducing the setup done in the CLI tutorial, highlighting areas where the Python interface enables customization.

[1]:
%matplotlib inline
import openfe

Loading the ligands#

First we must load the chemical models between which we wish to calculate free energies. In this example these are initially stored in a molfile (.sdf) containing multiple molecules. This can be loaded using the SDMolSupplier class from rdkit and passed to openfe.

[2]:
from rdkit import Chem
supp = Chem.SDMolSupplier("tyk2_ligands.sdf", removeHs=False)
ligands = [openfe.SmallMoleculeComponent.from_rdkit(mol) for mol in supp]

Creating the LigandNetwork#

The first step is to create a LigandNetwork, which is a network with small molecules as nodes, and atom mappings, the description of how to alchemically mutate between the molecules, as its edges.

The pipeline for creating a LigandNetwork can involve three components:

  • Atom Mapper: Proposes potential atom mappings (descriptions of the alchemical change) for pairs of ligands. We will use the LomapAtomMapper.

  • Scorer: Given an atom mapping, provides an estimate of the quality of that mapping (higher scores are better). We will use default_lomap_scorer.

  • Network Planner: Creates the actual LigandNetwork; different network planners provide different strategies. We will create a minimal spanning network with the generate_minimal_spanning_network method.

Each of these components could be replaced by other options.

[3]:
mapper = openfe.LomapAtomMapper(max3d=1.0, element_change=False)
scorer = openfe.lomap_scorers.default_lomap_score
network_planner = openfe.ligand_network_planning.generate_minimal_spanning_network

The exact call signature depends on the network planner: a minimal spanning network requires a score, whereas that is optional for a radial network (but a radial network needs the central ligand to be provided).

[4]:
ligand_network = network_planner(
    ligands=ligands,
    mappers=[mapper],
    scorer=scorer
)

Now we can look at the overall structure of the LigandNetwork:

[5]:
from openfe.utils.atommapping_network_plotting import plot_atommapping_network
plot_atommapping_network(ligand_network)
[5]:
../_images/tutorials_rbfe_python_tutorial_9_0.png

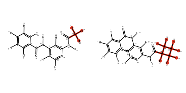
We can also inspect the individual atom mappings:

[6]:
# get the first edge; it automatically displays in a Jupyter notebook
mapping = next(iter(ligand_network.edges))
mapping
../_images/tutorials_rbfe_python_tutorial_11_0.png

To get the score for this mapping, we inspect its annotations attribute. Arbitrary annotations can be added when a mapping is created, although our network generator only includes the score.

[7]:
# higher score is better
mapping.annotations
[7]:
{'score': 0.33287108369807955}

You can output the ligand network to the same graphml format as we saw in the CLI tutorial with the following:

[8]:
with open("ligand_network.graphml", mode='w') as f:
    f.write(ligand_network.to_graphml())

Creating a single Transformation#

The LigandNetwork only knows about the small molecules and the alchemical connections between them. It doesn’t know anything about environment (e.g., solvent) or about the Protocol that will be used during the simulation.

That information in included in a Transformation. Each of these transformations corresponds to a single leg of the simulation campaign, so for each edge in the LigandNetwork, we will create two Transformations: one for the complex and one for solvent.

In practice, this will be done for each edge of the LigandNetwork in a loop, but for illustrative purposes we’ll dive into the details of creating a single transformation. In particular, we’ll create the solvent leg for the pair of molecules we selecting for the mapping above.

Creating ChemicalSystems#

OpenFE describes complex molecular systems as being composed of Components. For example, we have SmallMoleculeComponent for each small molecule in the LigandNetwork. We’ll create a SolventComponent to describe the solvent, and binding free energy calculations involve a ProteinComponent.

The Components are joined in a ChemicalSystem, which describes all the particles in the simulation.

[9]:
# defaults are water with NaCl at 0.15 M
solvent = openfe.SolventComponent()
[10]:
protein = openfe.ProteinComponent.from_pdb_file("./tyk2_protein.pdb")
[11]:
systemA = openfe.ChemicalSystem({
    'ligand': mapping.componentA,
    'solvent': solvent,
    'protein': protein
})
systemB = openfe.ChemicalSystem({
    'ligand': mapping.componentB,
    'solvent': solvent,
    'protein': protein
})

Creating a Protocol#

The actual simulation is performed by a Protocol. We’ll use an OpenMM-based hybrid topology relative free energy Protocol.

[12]:
from openfe.protocols.openmm_rfe import RelativeHybridTopologyProtocol

The easiest way to customize protocol settings is to start with the default settings, and modify them. Many settings carry units with them.

[13]:
settings = RelativeHybridTopologyProtocol.default_settings()
settings.thermo_settings.temperature  # display default value
[13]:
298.15 kelvin
[14]:
from openff.units import unit

# change the value
settings.thermo_settings.temperature = 310.0 * unit.kelvin

We’ll use the default settings for the protocol we’ll use later, to match the behavior of the CLI.

[15]:
default_settings = RelativeHybridTopologyProtocol.default_settings()
protocol = RelativeHybridTopologyProtocol(default_settings)

Creating the Transformation#

Once we have the mapping, the two ChemicalSystems, and the Protocol, creating the Transformation is easy:

[16]:
transformation = openfe.Transformation(
    systemA,
    systemB,
    protocol,
    mapping={'ligand': mapping},
)

To summarize, this Transformation contains: - chemical models of both sides of the alchemical transformation in systemA and systemB - the correspondence of items in these two sides in mapping - a description of the exact computational algorithm to use to perform the estimate in protocol

Creating the AlchemicalNetwork#

The AlchemicalNetwork contains all the information needed to run the entire campaign. It consists of a Transformation for each leg of the campaign. We’ll loop over all the mappings, and then loop over the legs. In that inner loop, we’ll make each transformation.

[17]:
transformations = []
for mapping in ligand_network.edges:
    for leg in ['solvent', 'complex']:
        # use the solvent and protein created above
        sysA_dict = {'ligand': mapping.componentA,
                     'solvent': solvent}
        sysB_dict = {'ligand': mapping.componentB,
                     'solvent': solvent}

        if leg == 'complex':
            sysA_dict['protein'] = protein
            sysB_dict['protein'] = protein

        # we don't have to name objects, but it can make things (like filenames) more convenient
        sysA = openfe.ChemicalSystem(sysA_dict, name=f"{mapping.componentA.name}_{leg}")
        sysB = openfe.ChemicalSystem(sysB_dict, name=f"{mapping.componentB.name}_{leg}")

        prefix = "easy_rbfe_"  # prefix is only to exactly reproduce CLI

        transformation = openfe.Transformation(
            stateA=sysA,
            stateB=sysB,
            mapping={'ligand': mapping},
            protocol=protocol,  # use protocol created above
            name=f"{prefix}{sysA.name}_{sysB.name}"
        )
        transformations.append(transformation)

network = openfe.AlchemicalNetwork(transformations)

Writing the AlchemicalNetwork to disk#

We’ll write out each transformation to disk, so that they can be run independently using the openfe quickrun command:

[18]:
import pathlib
# first we create the directory
transformation_dir = pathlib.Path("transformations")
transformation_dir.mkdir(exist_ok=True)

# then we write out each transformation
for transformation in network.edges:
    transformation.dump(transformation_dir / f"{transformation.name}.json")
[19]:
!ls transformations/
easy_rbfe_lig_ejm_31_complex_lig_ejm_42_complex.json
easy_rbfe_lig_ejm_31_complex_lig_ejm_46_complex.json
easy_rbfe_lig_ejm_31_complex_lig_ejm_47_complex.json
easy_rbfe_lig_ejm_31_complex_lig_ejm_48_complex.json
easy_rbfe_lig_ejm_31_complex_lig_ejm_50_complex.json
easy_rbfe_lig_ejm_31_solvent_lig_ejm_42_solvent.json
easy_rbfe_lig_ejm_31_solvent_lig_ejm_46_solvent.json
easy_rbfe_lig_ejm_31_solvent_lig_ejm_47_solvent.json
easy_rbfe_lig_ejm_31_solvent_lig_ejm_48_solvent.json
easy_rbfe_lig_ejm_31_solvent_lig_ejm_50_solvent.json
easy_rbfe_lig_ejm_42_complex_lig_ejm_43_complex.json
easy_rbfe_lig_ejm_42_solvent_lig_ejm_43_solvent.json
easy_rbfe_lig_ejm_46_complex_lig_jmc_23_complex.json
easy_rbfe_lig_ejm_46_complex_lig_jmc_27_complex.json
easy_rbfe_lig_ejm_46_complex_lig_jmc_28_complex.json
easy_rbfe_lig_ejm_46_solvent_lig_jmc_23_solvent.json
easy_rbfe_lig_ejm_46_solvent_lig_jmc_27_solvent.json
easy_rbfe_lig_ejm_46_solvent_lig_jmc_28_solvent.json

Each of these individual .json files contains a Transformation, which contains all the information to run the calculation. These could be farmed out as individual jobs on a HPC cluster. These files are identical to what were created in setup stage of the CLI tutorial; for details on running them, follow from the section on running simulations in the CLI tutorial